| |
|
|
|
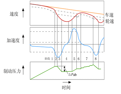
ABS的工作过程 |
|
在制动时轮速传感器测量车轮的速度,如果一个车轮有抱死的可能时,车轮减速度增加很快,车轮开始滑转。如果该减速度超过设定的值,控制器就会发出指令,让电磁阀停止或减少车轮的制动压力,直到抱死的可能消失为止。为防止车轮制动力不足,必须再次增加制动压力。在自动制动控制过程中,必须连续测量车轮运动是否稳定,应通过调节制动压力(加压、减压和保压)使车轮保持在制动力最大的滑转范围内。
制动控制的参数一般为车轮的减速度、加速度以及滑动率的三者综合。
| 在制动开始时,制动压力和车轮角减速度增加,在阶段1末,即轮减速度达到设定的门限值-a,(这里指绝对值),相应的电磁阀转换到“压力保持”状态,同时形成参考车速并在给定的斜率下作相应递减,滑动率的值是由参考车速计算得出,如果滑动率小于门限值,系统则进行一段保压(阶段2),当滑动率大于门限值,电磁阀转换到“压力下降”的状态,即阶段3,由于制动压力下降,车轮的角减速度回升,当达到-a值时,制动压力开始保持(第4阶段),当轮角减速度随着车轮的回升达到加速,达到门限 |
| 值+a,这时压力仍然保持,让车轮进一步回升到门限值+Ak(表明是高附着系数路面),这时使制动压力再次增加(第5阶段),使车轮角加速度下降,;当车轮角加速度再回到+Ak时,进行保压(第6阶段);车轮角加速度值回落到+a值,此时车轮已进入稳定制动区域,并且稍有制动不足,这一区域的制动时间要尽可能延长,因此,阶段7的制动压力采用小的阶梯上升,一般较初始压力梯度小得多,直到车轮减速度再次超过门限值-a值,以后的控制循环过程就和前面一样了。 |
 |
上一节
下一节
上一页 下一页
|