首 页
  发展历史   基本原理   基本结构   其他先进的制动系统
                                    上一页 下一页
 
  电磁式转速传感器    
   
    作 用

     测出车轮的转速,并把速度信号送到ECU。
    信号产生原理
     传感器与普通的交流发电机原理相同。永久磁铁产生一定强度的磁场,齿圈在磁场中旋转
   时,齿圈齿顶和电极之间的间隙就以一定的速度变化,这样就会使齿圈和电极组成的磁路中的
   磁阻发生变化。其结果使磁通量周期性增减,在线圈两端产生正比于磁通量增减速度的感应电
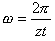
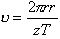
   压。测出交变电压的周期T,设齿圈齿数为z,齿圈转动角速度为
      ,又因为,r为车轮滚动半径。则车速为
          
                       上一节 下一节 上一页 下一页